锂电池烘烤过程水分变化,是电池生产厂家一个很重要的研究过程,电池水分的多少,直接影响电池的质量。下面,由“”小编,为大家讲解一下此变化过程。
电池在真空烤箱的试验变化过程:
试验使用设备: 电池真空烤箱
试验产品:锂电池电芯

研究分析:
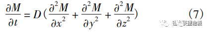
水份的蒸发过程中,浓度梯度的作用效果对干燥的影响不仅只发生在表面,对内部依然具有相同影响。针对电芯的水分蒸发扩散过程可以参照菲克定律来计算:

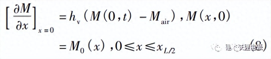
式中: D为电芯内部的水分有效扩散系数,其中同时包含了水分与水蒸汽扩散。由于电芯水分含量微乎其微,烘烤过程中的温度也不会造成电芯的属性变化,所以水分烘干过程中电芯材料的压缩量与物理化学变化完全可以忽略。设定边界条件为:

式中,Mair与M0分别为初始状况下烘烤箱内部与电芯中的水分含量;hv为电芯内部的水分传至烤箱环境中的传递系数。
通过计算,在电芯烘烤过程中的电芯3个不同部位的含水量结果,如下图所示,假设电芯在烘烤之前,各个横纵截面含水量一致。

通过烘烤发现,在烘烤开始时,电芯表面水分蒸发速率便很快,之后含水量慢慢减少趋于平缓,电芯中间部分在烘烤开始20 min左右蒸发速度达到最大值,而电芯底部在烘烤开始时水分蒸发并不明显,在烘烤50 min左右水分含量降低最为明显。








