锂电池、电芯等产品,在使用真空烤箱烘烤的过程中,水分几乎也是通过电芯上端蒸发去除,但电芯内部的温度与水分变化过程并不可见。不过,我们可以通过理论分析这一变化过程,下面由“”小编为大家讲解。
电池在真空烤箱的试验变化过程:
试验使用设备: 电池真空烤箱
试验产品:锂电池电芯
.jpg)
理论分析:
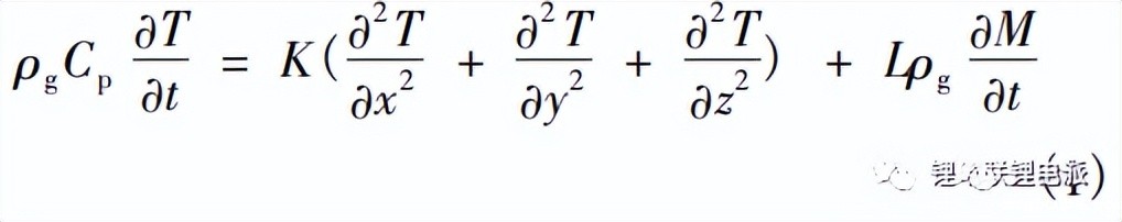
1.在烘烤过程中,热源在烘烤箱上端,电芯与烤箱上下夹板之间留有一定间隙,用于保证电芯拥有合适的烘烤温度,也利于蒸发的水分通过间隙扩散出烤箱以外。电芯在烘烤时的温度变化可通过傅里叶热传导定律计算:

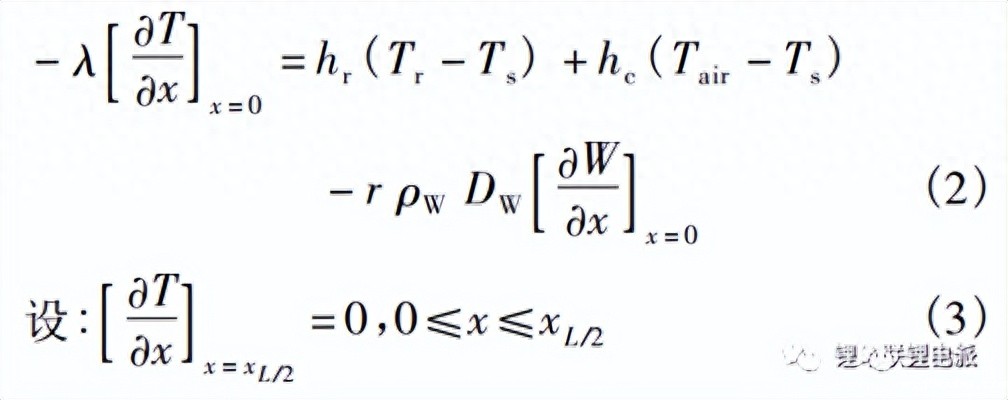
2.式中,ρg为电芯内部正负极片平均密度; Cp为电芯比热容; T为电芯温度; K为电芯热传导热效率; x、y、z为空间坐标函数; L为电芯内部的水分气化潜热; M为电芯内部水分含量。电芯的边界条件设定为:

3.式中,Tr、Ts、Tair分别为烘烤箱内热源设定温度、电芯表面温度、烘烤箱内部环境温度; DW为电芯内部水分扩散系数;ρW为液态水密度。
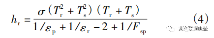
热传导系数分为2部分,hr为热辐射源热传导系数,hc为烤箱内对流热传导系数,其中

4.式中,Tr、Ts、Tair分别为烘烤箱内热源设定温度、电芯表面温度、烘烤箱内部环境温度; DW为电芯内部水分扩散系数;ρW为液态水密度。
热传导系数分为2部分,hr为热辐射源热传导系数,hc为烤箱内对流热传导系数,其中

5.式中Lsp为烤箱内热源与电芯表面之间的距离; asp与bsp为电芯长度与宽度,其中各系数由上列结果带定。
为便于分析说明电芯不同位置温度与水分变化,将电芯分为表面、中间与底部三个部分,电芯表面部分离热源最近。计算可得到不同时刻电芯三个部分的温度变化,如图2所示。

通过上面的分析可以发现,在烘烤开始时,电芯各个部位测量均为慢慢升高的趋势,表面温度升高最快,底部升高最慢,烘烤近95 min左右后,电芯各个部位逐渐达到最高温度,与烤箱内部温度达到一致。








