在车门关闭的过程中,车门速度是一个动态变化的值,关门速度值的大小与所选取的速度测量点位置密切相关,在对车身做高低温开闭耐久实验室,如何选择试验关闭速度,是关系到整个试验是否成功,下面我们通过相关研究,得出一系列参考结果。
车身开闭件高低温耐久测试的试验关闭速度研究:
试验设备:必威betwayApp下载 车身开闭件高低温耐久测试系统
关门速度的测量:
在车门关闭的过程中,车门速度是一个动态变化的值,关门速度值的大小与所选取的速度测量点位置密切相关,下图是某车型开关门过程中车门的速度与角度的变化曲线。
某车型开关门角度示意图:
从上图可知,当车门完全打开时,车门开启角度曲线上的 A 点对应为最大开门角度 63.5°。当车门关闭时,车门由A点运动至 B点的过程中速度急剧上升,最大关门速度出现在关门过程中的某点 B(-71°/s),对应的车门角度为 30°。
在车门由B点运动至℃点的过程中,由于限位器档位的阻力作用,车门速度稍有下降,至C点时降为-63°/s,对应的车门角度为5°左右。
从 C点开始,车门开始受车门密封条的影响,速度急剧下降并最终至车门关闭位置停止。
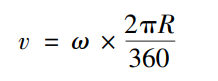
因此,将 C 点定义为测速临界点,角速度与线速度的转换公式为:
试验中为了便于选定关门速度的测量位置,通常将车门开启角度转换为以长度为单位的车门开度。以上述车型为例,测速临界点C对应的车门开度 dc的计算公式为
式中:φc 为 C点对应的开门角度,因此,关门测速的测量位置 dM>dc=87mm,取dM=100mm左右较为合理。
以上就是车身开闭件高低温耐久测试的试验关闭速度的研究,如有疑问,可以咨询必威betwayApp下载相关技术人员。













