室内环境中由挥发性有机物(VOC)导致的空气质量问题已引起高度关注。家具(包括木家具和软体家具)是室内VOC污染的重要来源,根据国家标准要求,voc的释放量测试可以使用释放舱法,下面我们结合释放舱法voc环境舱,来看看木质家具的voc释放量怎么做。
家具中挥发性有机物测量方法:
试验设备:必威betwayApp下载 释放舱法voc环境舱
设备大小:1立方米
试验过程:
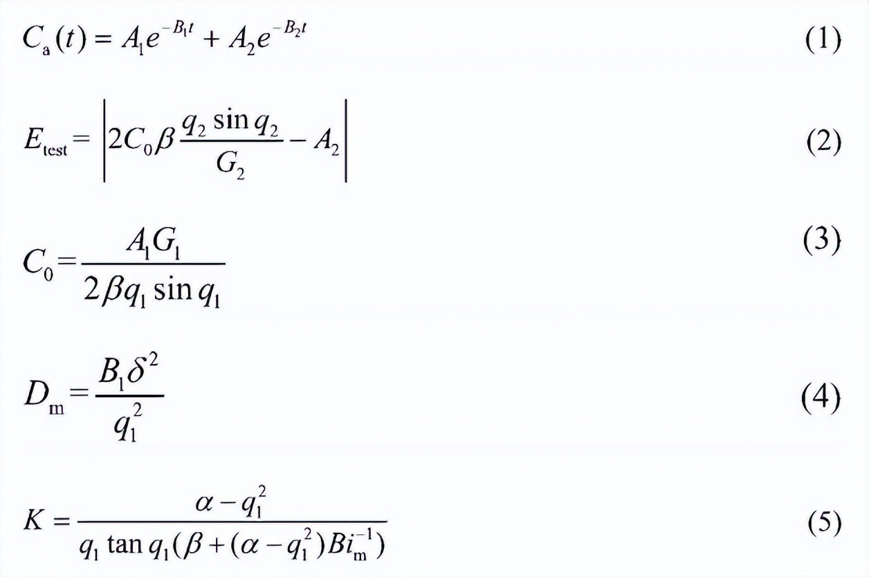
1.建立家具VOC释放过程的物理模型。
模型中:
Ca为环境舱内VOC浓度,μg/m³;
A1、B1、A2、B2为方程(1)的系数;
t为散发时间,s;
Etest为误差绝对值;
C0为家具中VOC的初始浓度,μg/m³;
Dm家具中VOC的扩散系数,m²/s;
K为家具内VOC的分配系数;
δ为家具的厚度,m;
β(=Aδ/V)表示家具体积与环境舱体积之比;
V为环境舱体积,m³;
A为家具散发表面积,m²;
2.在体积为1m3的环境舱内进行测试,实验时环境舱的温湿度均由空调系统进行控制,温度精度为±0.5℃、湿度控制精度为±5%;
3.将环境舱的温度、湿度分别设为(23±0.5)℃和(45±5)%,将处理后不含VOC的纯净空气以恒定通风量(0.87m³/h)通入环境舱内,然后将待测家具置于环境舱内进行测试,散发总表面积为3.98m2,厚度为0.021m,承载率为3.98m-1;
4.在家具释放过程中,测量不同时间下的环境舱内目标VOC浓度,我们以voc和二甲苯为采样气体,实验中采样多个数据点,用Tenax-TA吸附管在环境舱出气口处采样,然后用GC-MS分析。
实验测得第2、4、8、12、24、28、32、48、52、56、72小时环境舱内二甲苯浓度分别为1143.61μg/m³、1008.70μg/m³、831.90μg/m³、645.04μg/m³、424.96μg/m³、357.45μg/m³、375.47μg/m³、219.33μg/m³、206.68μg/m³、195.76μg/m³、143.49μg/m³;
5.将方程(1)中的系数A2和B2设为0,对测得的不同时间环境舱内二甲苯浓度取对数,绘制对数浓度和释放时间的散点图,如下图所示:
选取24小时以后的数据点(呈线性关系)代入方程(1)中进行拟合求得A1和B1的值分别为749.3和-0.024。
6.将测试的全部VOC浓度数据代入方程(1),拟合求得A2和B2的值分别为582.1和-0.144,拟合结果如下图所示:
以上就是释放舱法voc环境舱用于家具中测试挥发性有机物的测试方法,如有试验疑问,可以咨询必威betwayApp下载相关技术人员。














